中学数学高校入試で使える重要公式を一覧でまとめておくよ! 関数 関数において覚えておきたい公式をまとめておきます。 平行四辺形や二等辺三角形の性質(二等辺三角形で底角は等しい や、中学3年生 数学 いろいろな事象と関数 練習問題プリント 無料ダウンロード・印刷 時間や距離によって変わる料金や、ボールや電車の速度など、身の回りのいろいろな事象を関数でとらえ、式で表したり、グラフを使って問題を解く練習ができます。三角関数の加法定理に関係する公式たちは,基本の3つから全て高速で導出できるようになってくのが望ましいです。 高校数学が全然分からないですそれどころか中学数学から分からないです。 問題の構成が変わると全
三角関数 って 何でしたっけ Sin サイン Cos コサイン Tan タンジェント ニッセイ基礎研究所
三角 関数 中学
三角 関数 中学-中学数学1次関数 式の決定 中学数学2直線の交点(連立方程式とグラフ) 中学数学1次関数と三角形の面積・その1 中学数学1次関数と三角形の面積・その2 中学数学1次関数 ばね 中学数学1次関数の利用 線香 中学数学1次関数 動点中学数学1次関数 式の決定 中学数学2直線の交点(連立方程式とグラフ) 中学数学1次関数と三角形の面積・その1 中学数学1次関数と三角形の面積・その2 中学数学1次関数 ばね 中学数学1次関数の利用 線香



現在65歳の方が 俺らの頃は中学校1年で三角関数を習ったと言われるの Yahoo 知恵袋
この見方は三角比から三角関数の学習にステップアップする上で非常に重要。 (同様に, 「sinθは斜辺の長さが1の直角三角形の高さを表している」と解釈できる。 ) あ,そうそう,例に挙げた θ =60°の直角三角形のように,角度と辺の比がわかってSTARDY徹底講習詳細はこちら https//stardycojp/member/ 噂のSTARDY公式グッズ購入はこちらからhttps//suzurijp/stardy LINE公式はこちら三角関数 (三角関数)|高校数学のつまずきやすい単元を徹底解説! 数学が苦手なお子さんの数は中学、高校とも学年が上がっていくごとに増えていきますよね。 今回は高校2年生の数学の中でも三角関数について書いていきたいと思います。 三角関数は
三角関数に慣れる (1) ここでは直角三角形の斜辺とその他 1 辺とがなす角を \(\theta\) としたときに、 斜辺の長さでその他 2 辺を表す方法について説明します。 ここでの内容は、こんな人に向けて書いています 「関数」とは?をわかりやすく説明してほしい人 「関数であるもの」を選ぶ問題を解くのが苦手な人 中学1年生の数学で勉強する比例・反比例の単元で、「関数(かんすう)」というワードが登場します。 このページでは、まず「関数」と あとは、半角の公式、三角関数の合成、加法定理を駆使して頑張って下さいね。 難しいと言うよりも、ちょっと骨が折れる問題です。 学習や進路に対する質問等は、お気軽に問い合わせフォームからどうぞ。 お待ちしています。 富岡市の総合学習塾
三角関数 三角関数とベクトル 中学で鋭角の三角比 を扱い,数学iで一 般角(鈍角も含めて) の三角比を,数学Ⅱb で正弦定理・余弦定 理等を扱う。※ Ⅱ 1958(s33)~ 1960(s35)~ 中3 数学i 数学Ⅱb 修 修 択 必 必 選 計量(鋭角の三角比) 関数とそのグラフ 三角関数と三角関数 三角関数でまずしっかりおさえておきたいのは、やはり sin \sin sin (サイン)、 cos \cos cos (コサイン)、 tan \tan tan (タンジェント) です。 サインとコサインとは何かを覚えるときに、直角三角形の辺の関係だけで覚えていると応用し 中学校で、三角関数を学ぶ必要があるのか? 私の意見は、全員が学ぶ必要ないんじゃね? です。 理由は 1日本人の90%以上は、仕事でも



タンジェントとは何か 中学生でも分かる三角関数の基礎



ちょっとわかればこんなに役に立つ 中学 高校数学のほんとうの使い道 じっぴコンパクト新書 76 京極 一樹 本 通販 Amazon
#sin #cos #tan STARDY徹底講習詳細はこちら https//stardycojp/ 噂のSTARDY公式グッズ購入はこちらからhttps//suzurijp/stardy LINE公式は 中学生に是非解かせたい問題。 ・2分割三角形(オリジナル)(★★★☆☆) 一直線上で2分割ときたら,素早くアレです。 ・平行四辺形と優しい関数(17年愛媛県)(★★★☆☆) 平行四辺形と関数が融合した問題・最初の練習として。数学ii 三角関数 三角関数 正の数と負の数 22 文字と式(中学) 19 一次方程式 23 比例と反比例(中学) 16 平面図形(中学) 33 高校数学全般 6 実数 32 展開と因数分解 28 集合と命題 38 一次不等式 18 二次関数 101 三角比 77 データの分析 45 場合の数 53 確率 75



短時間で仕上げる 自由研究 数学 のテーマを中学 高校の各学年に対応して考えてみた 物理u数学の友 質問 悩みに回答します



高2 ヨビノリ 中学数学から始める三角関数 まとめ 高校生 数学のノート Clear
三角比の定義 sinθ= y r cosθ= x r tanθ= y x この定義により,辺の長さは,次のように表せる。 y = rsinθ x = rcosθ y = xtanθ 30◦, 45◦, 60◦の三角比は,下の図から求められる。 sin30◦= 1 2 cos45 = 1 √ 2 tan60 = √ 3 1 = √ 3 問 下の表を完成せよ。 θ 30◦45◦60◦ヘロンの公式の証明(三角関数を使わずに) ヘロンの公式 は任意の 三角形 の3辺 a , b , c の長さから 面積S を求める公式である。 アレクサンドリアのヘロンが彼の著書『Metrica』の中で証明を与えていることから彼に帰せられる。 ただし, この証明には 算数、中学受験、数学、高校受験、大学受験、面白い分数、解けたら天才、などなどのブログです☆ 21 08 21 (新曲公開・記念クイズ4)作曲64加法定理の歌(ボカロ+三角関数)う山雄一先生



とどろき英数塾 高校生のページ 公式集 三角比と三角関数



3
三角関数 中学校では、右の図のように、60°など といった角度が特別な角度の直角三角形について、3辺の長さの比が決まっている事を習った。 しかし、直角三角形の相似の条件を考えれば、角度が50°や75°などの角度であっても、3辺の比率は決まるはずで



三角比とはなんだ 何の役に立つ どんな歴史があるの



数学の三角比問題 解き方のコツ 公式 スタディサプリ大学受験講座



高校数学 三角方程式 不等式 三角関数の合成 受験の月



高校知識でらくちん 3 19年度灘高校 高校入試 数学 良問 難問



タンジェントとは何か 中学生でも分かる三角関数の基礎



日本人全員に三角関数を教える必要がない2つの理由 ハフポスト



高校数学 三角関数の相互関係を用いる証明 例題編 映像授業のtry It トライイット



塾長の備忘録 三角関数のグラフの書き方



三角関数 って 何でしたっけ Sin サイン Cos コサイン Tan タンジェント ニッセイ基礎研究所



家電やスマホに必須 三角関数は陰の働き者 中高数学おさらい 三角関数 数列 文系でも怖くない 学び直し 数学 ダイヤモンド オンライン



三角関数のsin Cos Tanとは 図解ですぐわかる 超重要な公式と練習問題も 高校生向け受験応援メディア 受験のミカタ



21年大学入試共通テスト 数学ia 第1問 2 図形 三角比 余弦定理 正弦定理など 配点点 問題 解答 解説 船橋市議会議員 朝倉幹晴公式サイト



三角関数は高校何年生で習いますか それと中学3年間の数学知識があれば Yahoo 知恵袋



中学数学からはじめる三角関数 Youtube



Sin Cos Tan 三角比 三角関数の基礎をスタサプ講師がわかりやすく解説 高校生なう スタディサプリ進路 高校生に関するニュースを配信



中学生でもわかった サインコサインとは 公式を暗記しなくても 感覚でわかる 青春マスマティック



中学生でもわかった サインコサインとは 公式を暗記しなくても 感覚でわかる 青春マスマティック



高校数学がわからなかったら中学数学に戻るべし Youtube



わかりやすい三角比と基本公式 Irohabook



Sin Cos Tan 三角比 三角関数の基礎をスタサプ講師がわかりやすく解説 高校生なう スタディサプリ進路 高校生に関するニュースを配信



三角関数 って 何でしたっけ Sin サイン Cos コサイン Tan タンジェント ニッセイ基礎研究所



三角比 30 45 60 もう一度やり直しの算数 数学



タンジェントとは何か 中学生でも分かる三角関数の基礎



三角関数での活用



光文社新書 中学の知識でオイラーの公式がわかる Vol 2三角関数 Youtube



3



高校数学 三角比の約束と有名三角比 映像授業のtry It トライイット



ヘロンの公式の証明 三角関数を使わずに ようこそ なるのホームページへ



Zionadchat テニスの英才教育も カリフォルニアでは 小学生からやめればイイ カリフォルニアには 大変なようで ちゃんと書いとけば 一般向けには 三角関数の操作を覚えさすのでなく 三角関数が 三角測量で 距離 測るときに 役立ってるよ そういうこと知っ



K 中学生のための三角関数 Powered By Line



サインコサインタンジェント Sin Cos Tan とは何を表す 良い覚え方を紹介 遊ぶ数学



やさしく解説 電験3理論 超重要 三角関数って何 三角関数の基礎講座 Youtube



昔は中学校で三角比を習っていたと聞いたんですがほんとうですか Yahoo 知恵袋



3



4月28日まで 数学大百科事典 が無料で全文公開 仕事に使える基礎数学を学び直しませんか Codezine コードジン



三角関数 機械加工でよく使う計算方法を説明します セドヤのブログ



高校数学 三角関数と最大最小値 滋賀大学 数樂管理人のブログ



高校数学 三角関数の最大と最小 Cosの合成は 大丈夫 中学数学 高校数学



高校数学 数 76 三角比 基本編 Youtube



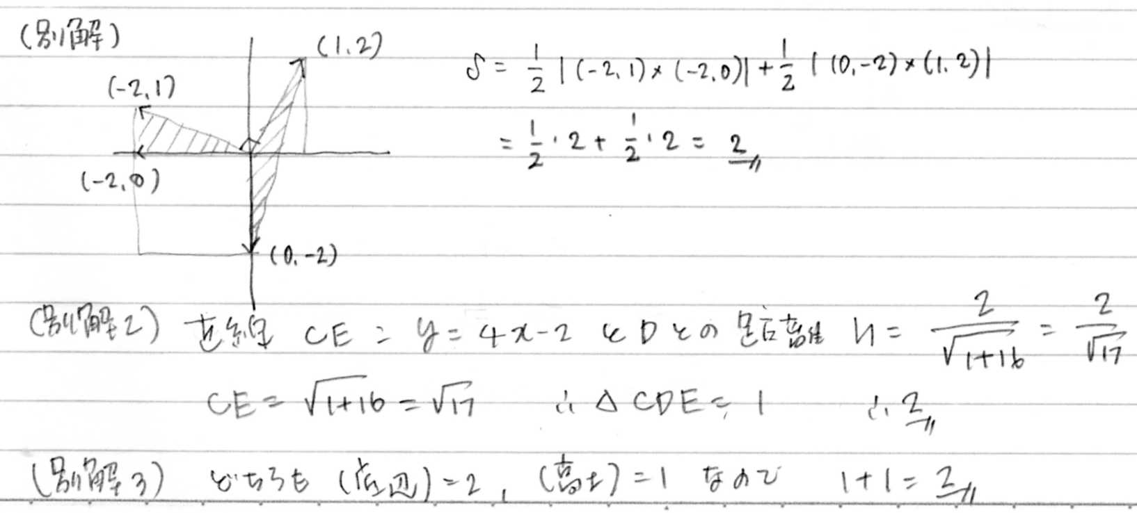
Akiya Su Twitterissa 数学 1次関数のグラフと三角形 底辺が三角形の辺上にない場合 面積がわかる大きい図形から小さい図形を引く 自分で座標を求めなくてはならないので 難易度は高め 中学数学 1次関数 グラフ 三角形



東大合格コム



超重要 三角関数の座標設定 解説 中学数学 高校数学



Sin Cos Tan 三角比 三角関数の基礎をスタサプ講師がわかりやすく解説 高校生なう スタディサプリ進路 高校生に関するニュースを配信



家電やスマホに必須 三角関数は陰の働き者 中高数学おさらい 三角関数 数列 文系でも怖くない 学び直し 数学 ダイヤモンド オンライン



高校数学 三角比 三角比の求め方と覚え方 Sin Cos Tan 数学の面白いこと 役に立つことをまとめたサイト



三角関数のsin Cos Tanとは 図解ですぐわかる 超重要な公式と練習問題も 高校生向け受験応援メディア 受験のミカタ



高校数学 三角方程式 不等式 三角関数の相互関係による関数の統一 受験の月



図形と計量 三角比の定義について 日々是鍛錬 ひびこれたんれん



高校数学 絶対確認 まずは 三角関数の周期の問題 中学数学 高校数学



射出成形金型 三角関数編 関数電卓を使った困ったときの計算方法



わかりやすい三角比と基本公式 Irohabook



中学数学 三角関数 Mp3



Sin Cos Tan 三角比 三角関数の基礎をスタサプ講師がわかりやすく解説 高校生なう スタディサプリ進路 高校生に関するニュースを配信



電験三種で使用する三角関数とラジアンの関係性と忘れない覚え方 電気noobが一人前の電気主任技術者になるまで



はなせ Sur Twitter 朗報 ワイ 中学生に煽られたところを三角関数で形勢逆転 中学生が図形問題で煽ってきたけど関数電卓使って黙らせた 大人なめるなクソガキ



中学数学からはじめる三角関数 Okedou



高校数学 三角比 使って覚える三角比の基本公式 数学の面白いこと 役に立つことをまとめたサイト



Q Tbn And9gcq7h6dlzvq5e0plulfvxu64dpvadasyky0sizoi2drjv Uyz1m5 Usqp Cau



数i 基本的な三角比の値



中学3年生 数学 三平方の定理 練習問題プリント ちびむすドリル 中学生



高校数学 三角関数 超重要問題 解説 中学数学 高校数学



2



プログラミング講座 簡単な算数 四則演算 をする ちょっと興味があるブログ



タンジェントとは何か 中学生でも分かる三角関数の基礎



わかりやすい三角比と基本公式 Irohabook



三角比と三角関数 高校物理をあきらめる前に 高校物理をあきらめる前に



高校数学 三角関数sin8の方程式と一般角 映像授業のtry It トライイット



三角関数は高校何年生で習いますか それと中学3年間の数学知識があれば Yahoo 知恵袋



Sin Cos Tan 三角比 三角関数の基礎をスタサプ講師がわかりやすく解説 21年3月16日 エキサイトニュース



fcs数学教室 V Twitter 朝倉街道数学教室 1 29授業メモ 筑紫丘高校理数科 1年生は筑陽高校2年生の センター三角関数 の疑問点に答えさせる 久留米附設中学 3年生は数 三角関数 筑紫丘高校普通科 1年生は 剰余の定理 の予習 東福岡高校 3年生は



Sin15 Cos15 Tan15 を簡単に求める 円周率近似値の日に生まれて理系じゃないわけないだろ Knifeのblog



塾に行かない 中学受験させない がり勉にしない でも 子どもを 天才 にする 付 小学生でも 三角関数 対数がわかるわけ 文系理科向上委員会 中学教科書 参考書 Kindleストア Amazon



Jhs Js Doshisha Ac Jp Manabiproject Manabi Mathematics E4 B8 E8 92 E9 96 E6 95 B0 Ef sin Cos Tan Ef E5 85 A5 E9 96 80



現在65歳の方が 俺らの頃は中学校1年で三角関数を習ったと言われるの Yahoo 知恵袋



高校数学 三角関数の2倍角の公式 半角の公式の証明と応用 受験の月



数学教材 中間発表



三角関数のsin Cos Tanとは 図解ですぐわかる 超重要な公式と練習問題も 高校生向け受験応援メディア 受験のミカタ



K 中学生のための三角関数 Powered By Line



たった6つの公式から三角関数の公式を全て導く方法 塾講師ステーション情報局



三角関数 とは わかりやすくまとめてみた 動画あり もんプロ 問題発見と解決のためのプログラミング



2点間の距離を測ろう 三角関数 Gameworks Lab



わかりやすい三角比と基本公式 Irohabook



高校数学 三角関数の最大と最小 これが できれば 初歩合格 中学数学 高校数学



高1数学 木の高さを三角比を用いて求める方法を解説 数スタ



三角関数 サイン コサイン タンジェントは役に立つんだから 超シンプルに解説 Ayumi Media 生き抜く子供を育てたい



Sin Cos Tan 三角比 三角関数の基礎をスタサプ講師がわかりやすく解説 ガジェット通信 Getnews



解法の拡張 その6 直線束を視覚化する Online数学授業



ひかり理数科教室さんのツイート 今日の板書 三角関数を90度以上に拡張 単位円を考えます 今日の板書 高校数学 数学1 図形と計量 90度以上の三角関数 単位円 チンアナゴ カエル 勉強垢 勉強垢さんと繋がりたい 沼津市 小学生 中学生 高校生



三角関数とは 三角関数の基礎 試験にでる要点まとめ 高校生向け受験応援メディア 受験のミカタ



三角形の面積の求め方まとめ タイプ別でわかる公式一覧 アタリマエ



三角関数表 高校 数



三角比 Sin Cos Tan もう一度やり直しの算数 数学



高校数学 三平方の定理による三角関数の計算 2 映像授業のtry It トライイット



第1回 全10回 三角関数 中学生でもわかる電子工作教室



Scratch 2 0 中学生向教材 無限大 Ubunifu Incorporated



三角形 の 面積 公式 一覧



高校数学 三角比 三角比の求め方と覚え方 Sin Cos Tan 数学の面白いこと 役に立つことをまとめたサイト



Amazon Com 数学大百科事典 仕事で使う公式 定理 ルール127 Books


0 件のコメント:
コメントを投稿